Post written by Pin Wang, MM, from The First Affiliated Hospital of Nanjing Medical University and Nanjing Mei Shan Hospital and Bixing Ye, MD, Guoxin Zhang, MD, Lin Lin, MD, and Liuqin Jiang, MD, from The First Affiliated Hospital of Nanjing Medical University, Nanjing, China.
This study systematically evaluates anorectal function changes following endoscopic submucosal dissection (ESD) for rectal lesions. We assessed incidence, characteristics, and temporal patterns of postoperative symptoms, along with their impact on quality of life and psychological well-being, using validated instruments including the Low Anterior Resection Syndrome score, Wexner Fecal Incontinence Score, Gastrointestinal Quality of Life Index, Self-Rating Anxiety Scale, and Self-Rating Depression Scale.

In our daily practice, we observed that patients frequently reported altered bowel habits and anal discomfort following rectal ESD—symptoms that were often dismissed as minor or self-limiting. However, patient interviews revealed meaningful impacts on quality of life. Surprisingly, systematic data on this topic were scarce, with most prior research focusing on technical outcomes rather than functional recovery. This knowledge gap limits clinicians’ ability to provide accurate preoperative counseling and postoperative management. We aimed to establish evidence-based guidance for patient care.
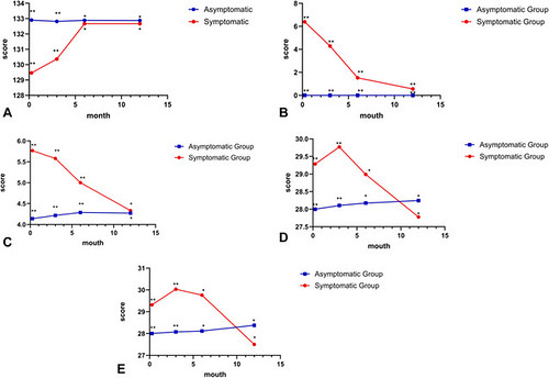
Among 296 patients, 27.7% experienced postoperative anorectal symptoms, primarily increased bowel movements, anal discomfort, urgency, and loose stools. Crucially, these symptoms proved largely transient: most resolved within 3 to 6 months, with only 3% of patients symptomatic at 12 months. Multivariate analysis identified 2 significant predictors: lesion location and lesion size. Lesions ≤5 cm from the anal verge and those >4 cm in diameter markedly increased symptom risk (OR 7.259 for lesions >4 cm).
These findings enable preoperative risk stratification and targeted patient counseling. To our knowledge, this represents one of the most comprehensive assessments of functional outcomes following rectal ESD.
As a single-center retrospective study, our findings require validation through prospective multicenter trials. Future research should incorporate objective measures such as anorectal manometry to elucidate underlying pathophysiological mechanisms and develop targeted interventions for high-risk patients.
We emphasize that the psychological distress (anxiety, depression) associated with postoperative symptoms is also short-lived, offering important reassurance to clinicians and patients during the recovery period.

Temporal trends in various scoring metrics between asymptomatic and symptomatic groups. A, GIQLI scoring index over time for asymptomatic and symptomatic groups. B, LARS score changes across months for asymptomatic and symptomatic groups. C, Wexner Fecal Incontinence Score trends for asymptomatic and symptomatic groups. D, SAS score variations over time for asymptomatic and symptomatic groups. E, SDS score fluctuations across months for asymptomatic and symptomatic groups. ∗No statistically significant difference. ∗∗ Statistically significant difference. GIQLI, Gastrointestinal Quality of Life Index; LARS, low anterior resection syndrome; SAS, Self-Rating Anxiety Scale; SDS, self-rating depression scale.
Read the full article online.
The information presented in Endoscopedia reflects the opinions of the authors and does not represent the position of the American Society for Gastrointestinal Endoscopy (ASGE). ASGE expressly disclaims any warranties or guarantees, expressed or implied, and is not liable for damages of any kind in connection with the material, information, or procedures set forth.